素晴らしい最高の壁紙無料ABHD

2x

How Do You Integrate 3 X E 2x Socratic

Derivative Of 2 X Number Raised To Power X Youtube

Graphing Parabolas

Ex 7 5 6 Integrate 1 X2 X 1 2x Class 12 Ex 7 5

Geogebra Tutorial Functions

Polynom Matte 2 Algebra Matteboken

In base al Primo teorema fondamentale del calcolo integrale, il calcolo di suddetti integrali tramite identificazione della primitiva viene effettuato attraverso algoritmi atti a far sì che la derivata del risultato coincida con la funzione integranda.

2x. Che e veri cata se x = 16 Essendo x = 16 > 0, la condizione di esistenza e veri cata e quindi l’equazione data ammette come unica soluzione x = 16 Esercizi Risolvere le seguenti equazioni 1log 3 x 2 = 6 2log 5 x = 1 3 3log x p x 1 = 0 42log 2 3. Denominazione Codice Fiscale Indirizzo Comune CAP PR ASSOCIAZIONE ITINERA VIA RAFFAELE BOVIO N 02 Bari BA ASSOCIAZIONE "AUDITORIUM" VIA POLIGNANO 28 Castellana Grotte BA. Sviluppo del quadrato di binomio (x1)^2 (x1)^2 è un quadrato di binomio con segno meno, la cui formula generale che permette di scriverne lo sviluppo è Pertanto, per sviluppare (x1) 2 basta sostituire nella formula precedente a con x e b con 1 Anche in questo caso, per verificare che quanto ottenuto è corretto, calcoliamo il seguente.

`int (f ' (x))/(1 f^2 (x)) dx = arc tan f(x) c` Integrazione per sostituzione Per il calcolo di integrali del tipo `int f(x) dx`, talvolta può essere vantaggioso sostituire alla variabile d’integrazione x una funzione di un’altra variabile t , purché tale funzione sia derivabile e invertibile. 2 x 2 = 10 Sommando i termini simili si ottiene 5 2 log 2 x = 10;. Sin(π2 ±x) = cosx;.

WolframAlpha brings expertlevel knowledge and capabilities to the broadest possible range of people—spanning all professions and education levels. The following article is from The Great Soviet Encyclopedia (1979) It might be outdated or ideologically biased Trigonometric Function Trigonometric functions make up one of the most important classes of elementary functions Figure 1 To define the trigonometric functions, we may consider a circle of unit radius with two mutually perpedicular. Solve your math problems using our free math solver with stepbystep solutions Our math solver supports basic math, prealgebra, algebra, trigonometry, calculus and more.

FORMULARIO TRIGONOMETRIA sin 2xcos x = 1;. Shop for all the latest trends in men's underwear, swimwear and shirts 2(X)IST is designed and engineered in NYC since 1991 We pride ourselves in making. Scegli di donare il 5 x 1000 alla Lega del Filo d’Oro per aiutare bambini e adulti sordociechi e pluriminorati psicosensoriali scegli oggi a chi donare.

Compute answers using Wolfram's breakthrough technology & knowledgebase, relied on by millions of students & professionals For math, science, nutrition, history. Da cui segue log 2 x = 4;. 24/07/07 · A cura di Gianni Sammito Studiare il grafico della seguente funzione reale di variabile reale.

Oppo Find X2 Lite è un smartphone Android di buon livello, fortemente votato all'imaging, in grado di soddisfare anche l'utente più esigente Sorprende il display Touchscreen da 64 pollici che. 12/11/ · `y' = 1/(sin^2 x) = (1 cot^2 x)` funzioni goniometriche inverse `y = arc sin x` `y' = 1/(sqrt(1x^2))` `y = arc cos x` `y' = 1/(sqrt(1x^2))` `y = arc tan x` `y' = 1/(1x^2)` `y = arc cot x` `y' = 1/(1x^2)` Regole di derivazione derivata di una. 24/06/16 · Allora come soluzione il libro dice 2 e 3 Ma non è soltanto 3 essendo che imponendo x^2x sia > 0 Mettendo.

How to integrate sin^2 x using the addition formula for cos(2x) and a trigonometric identity. 23/07/11 · Skuolanet News è una testata giornalistica iscritta al Registro degli Operatori della Comunicazione Registrazione n° 792 del 23/12/10 ©00—21 Skuola Network srl Tutti i diritti riservati — PI. Solve your math problems using our free math solver with stepbystep solutions Our math solver supports basic math, prealgebra, algebra, trigonometry, calculus and more.

Nel processo di scelta del tuo viaggio, scegli l'offerta Italo x 2 (selezionando 2 passeggeri) o Italo x 4 (selezionando 4 passeggeri), accetta le condizioni riassunte nel popup che ti compare e concludi il tuo acquisto I posti assegnati che visualizzerai, saranno temporanei. Equazioni esponenziali Sono equazioni in cui la x compare all'esponente della potenza;. Le matrici quadrate di ordine 2 (o matrici di aspetto 2 × 2, o matrici di due righe e due colonne), coprono un ruolo importante nell'analisi matematica e nella fisicaTra le caratteristiche principali, esse rappresentano una trasformazione lineare dello spazio vettoriale bidimensionale e forniscono un metodo di soluzione dei sistemi di due equazioni lineari in due incognite.

Free math problem solver answers your algebra, geometry, trigonometry, calculus, and statistics homework questions with stepbystep explanations, just like a math tutor. 2 x Promemoria y Il coefficiente angolare di una retta passante per i due punti P 1 (x 1,y 1) e P 2 (x 2,y 2) è 2 1 2 1 x x y y m y 1 y 2 P 1 P 2 Data una funzione f(x), il rapporto incrementale relativo al punto x 0 y f(x 0) f(x 0 h) O x 0 x 0 h x h f(x 0 h) f(x 0). Cos(π 2 ±x) = ∓sinx.

2XU produce la linea di prodotti dedicati al triathlon, più innovativa e completa sul mercato I capi sono studiati da triatleti per triatleti e soddisfano le esigenze di. 04/10/18 · 4 * 2^x (1/2) * 2^x (1/4) * 2^x = 26. Search the world's information, including webpages, images, videos and more Google has many special features to help you find exactly what you're looking for.

Tutte le caratteristiche salienti della BMW X2 SUV Design, caratteristiche innovative e dinamica eccezionale Scopritela e configuratela ora. Installa Firefox, il browser web gratuito di Mozilla, un’organizzazione senza fini di lucro votata a mantenere la salute di Internet e la privacy dei suoi utenti Disponibile ora. How to Use the Calculator Type your algebra problem into the text box For example, enter 3x2=14 into the text box to get a stepbystep explanation of.

25/04/03 · Directed by Bryan Singer With Patrick Stewart, Hugh Jackman, Halle Berry, Ian McKellen When antimutant Colonel William Stryker kidnaps Professor X and attacks his school, the XMen must ally with their archenemy Magneto to stop him. Cothx = cosx sinx sin(−x) = −sinx;. Inserisci qui una funzione e Mathepower ne calcola la derivata prima mostrando tutti i passaggi.

We will find all the solutions to the equation x^2=2^x as many of you guys have been asking Lecture on Lambert W function https//youtube/Qb7JITsbyKsIf yo. Tra le offerte recenti di auto usate trovi anche BMW X2 su AutoScout24, il più grande marketplace di automobili online d'Europa. Viaggi 2x1 Crociere 2x1 Vacanze 2x1 Last Second Last Minute Medinlife Offerte viaggi last second vancanze scontatissime, crociere scontatissime, super offerte last second, crociere 2x1, vacanze 2x1, viaggi 2x1, offerte crociere last second Costa Crociere e Msc Crociere.

Ampia scelta, piccoli prezzi Scopri nei nostri negozi online fotocamere digitali, lettori MP3, libri, musica, DVD, videogiochi, elettrodomestici e tanto altro Spedizione gratuita per ordini superiori ai. Dimensione cm 3,2 x 37 x 224 si precisa che la misurazione viene prelevata verso il centro della tavola mediando la larghezza di entrambi i lati UNICO PEZZO DISPONIBILE Il legno è di ottima qualità, ma bisogna tenere sempre presente che proprio per la sua caratteristica,. Italo x 2 e Italo x 4 sono le offerte che ti permettono di viaggiare con i tuoi cari con posti affiancati COME FUNZIONA?.

Approfitta delle offerte 2X1 per alcune delle maggiori attrazioni di Londra con Stansted Express Teatro, ristoranti, giri in barca e tanto altro ancora. Usato auto BMW vendita occasioni auto BMW e MINI nuove, usate, KM 0 e aziendali a Brescia Pronta consegna Nanni Nember, la concessionaria ufficiale BMW Auto, BMW Motorrad e MINI di. Per risolverle si cerca di ottenere una potenza sia prima che dopo l'uguale, con la stessa base in modo da poter uguagliare gli argomenti;.

03/07/10 · c'è una piccola imprecisione non è corretto dire che $x^2e^x$ è sempre positiva, infatti c'è un punto in cui si annulla, ovvero $x=0$ per il resto andava. 17/12/09 · Compilando il presente form acconsento a ricevere le informazioni relative ai servizi di cui alla presente pagina ai sensi dell'informativa sulla privacy. Ora metto a sistema i due risultati1 < x < 0 V x > 1 x < 1 V 12.

11/12/ · Cerchi BMW X2?. Infatti il coseno è una funzione, e quindi il suo argomento deve essere racchiuso tra una coppia di. Lavorazioni Un reparto attrezzato con i macchinari più veloci e moderni, per realizzare in breve tempo ogni tipo di lavorazione.

Y= 2 x = 1 _ 8 < = 1 x = 2 Esercizi Risolvere i seguenti sistemi 1 8 < x y = 2 3xy = 81 2 8 < 4x1 8y = 1 25x = 5 1252y 3 8 >> >< >> > 2x 1 41y = 16 8xy 5 25xy = 1 56x 4 8 < 3 p 2 x p 8 2y = 1 p 3x y 5 p 91 y = 1 5 8 < 2x1 = 3y 3x1 = 2y 6 8 >< > 2x y2 = 0 3xy 9 = 1 3. Cos2x indica il coseno di 2xLa formula per il coseno di 2x prende il nome di formula di duplicazione del coseno e stabilisce che il coseno di 2x è uguale alla differenza tra il quadrato del coseno di x ed il quadrato del seno di x In termini formali la scrittura cos2x non è corretta;. Sostieni il Partito Democratico con il 2×1000, è semplice e non ti costa nulla Scrivi M nella dichiarazione dei redditi e firma.

Checking Answers Using Algebra Calculator Mathpapa

Content How Fast Does An Exponential Function Grow

4 1 Inverse Functions T

The Exponential Function Math Insight

Graphs Of Exponential And Logarithmic Functions Boundless Algebra

Algebra Calculator Tutorial Mathpapa

Integrate Sin 2x

What Is The Integral Of Cos 2x Cos Square X

Kvadratkomplettering Matte 2 Andragradsekvationer Matteboken

Example 1 Write Solution Set Of X2 X 2 0 In Roster

Dupla Plantfix Liquid 2 X 3 G Snabblim For Akvarievaxter Cyberzoo

Algebra Calculator Tutorial Mathpapa

4 1 Exponential Functions And Their Graphs

Ekvationslosning Algebra Hogstadiet Ma 1 Eddler

Geogebra Tutorial Functions

2 X Images Stock Photos Vectors Shutterstock

Graphing Logarithmic Functions

The Derivative Of E 2x Derivativeit

Solved Verify The Identity Cos2x Cos 2 X Sin 2 X Cos Chegg Com

Solve X 2 X 2 0 Youtube

Solving Equations With Variables On Both Sides Solutions Examples Lessons Videos

Y 2 X

Example 10 Find Integrals I X 2 2x2 6x 5 Dx Examples

Kop Zyx Citron Sugtablett 3 Mg 2 X 10 St Pa Apotea Se

Algebra Calculator Mathpapa

Finding Features Of Quadratic Functions Video Khan Academy

How To Find Equations For Exponential Functions Studypug

Ekvationslosning Matte 1 Algebra Matteboken

Using A Table Of Values To Graph Equations

Integral Of X 2 1 X 2 Youtube

5 Ways To Solve For X Wikihow

Geogebra Tutorial Functions

Math Scene Equations Iii Lesson 3 Quadratic Equations

Gaussian Integral Wikipedia

How To Draw Y 2 X 2

Solve Solve Inequalities With Step By Step Math Problem Solver

Handla Adapter 15 Pol Till 2 X 7 Pol Online Till Bra Bris Almax

Jordgubbar 2 X 2 5kg Gg Handel

Finding All Roots Of X 6 2 X 5 2 X 4 3 X 2 6 X 6 Knowing That One Root Is X 1 I Mathematics Stack Exchange

Los Ekvationen 2x2 6x 0 Matematik Matte 2 Pluggakuten

2 X

Forenkla Rationella Uttryck Algebra Ma3 Matematikvideo

Qanda Free Math App Over 25 Million Downloads

Integrate Sin 2x Cos 2x

Graphing Quadratic Functions

How Do You Simplify 1 Tan 2 X 1 Tan 2 X Socratic

Integral E 2x Integral Of Exp 2x Antiderivative Of E 2x Integration Of Exponential Of 2x Youtube

1 2 X Zerat

Faktorisering Matte 2 Algebra Matteboken

Ex 13 2 9 Find Derivative Of I 2x 3 4 Ii 5x 3 3x 1 X 1

5 Ways To Solve For X Wikihow

Math Scene Equations Iii Lesson 3 Quadratic Equations

Solving Exponential Equations With Different Bases Video Lessons Examples Solutions

Matematik Att Arbeta Med Algebraiska Uttryck Exempel

2 X Images Stock Photos Vectors Shutterstock

Ekvationslosning Algebra Hogstadiet Ma 1 Eddler

Matematik Att Arbeta Med Algebraiska Uttryck Exempel

X 2 2x 0 Youtube

What Is The Differentiation Of 1 X 2 Quora

Solving Rational Equations

Factoring Calculator Wolfram Alpha

How Do You Verify Sin 2 X 1 2 1 Cos2x Socratic

How Do You Graph Y 2x 1 By Plotting Points Socratic

Kop 3m Steri Strip Suturtejp Vit 2 X 3 Strips Pa Apotea Se

4 1 Exponential Functions And Their Graphs

Derivative Rules

Kapitel 1 Algebra Och Linjara Modeller Manada Se Ppt Ladda Ner

Graphing Quadratics In Factored Form Video Khan Academy

Vad Ar Funktioner Funktionslara Matte 1 Matte 2 Eddler

Exponential Growth And Decay College Algebra

Misc 16 Solve Equations 2 X 3 Y 10 Z 4 4 X 6 Y 5 Z 1

List Of Logarithmic Identities Wikipedia

Example 4 Solve 5 2x 3 X 6 5 Chapter 6 Class 11

Faktorisering Matte 2 Algebra Matteboken

Wolfram Alpha Examples Step By Step Solutions

Solve Solve Inequalities With Step By Step Math Problem Solver

Quadratics Graphing Parabolas Sparknotes

Ekvation Som Innehaller Brak Matematik Matte 1 Algebra Pluggakuten

If 2 X 4 Y 8 Z And 1 2x 1 4y 1 6z 24 7 Then Find The Value Of Z Sarthaks Econnect Largest Online Education Community

The Derivative Of Cos 2x Derivativeit

Button Accelerated Internet 2x Red Royalty Free Cliparts Vectors And Stock Illustration Image

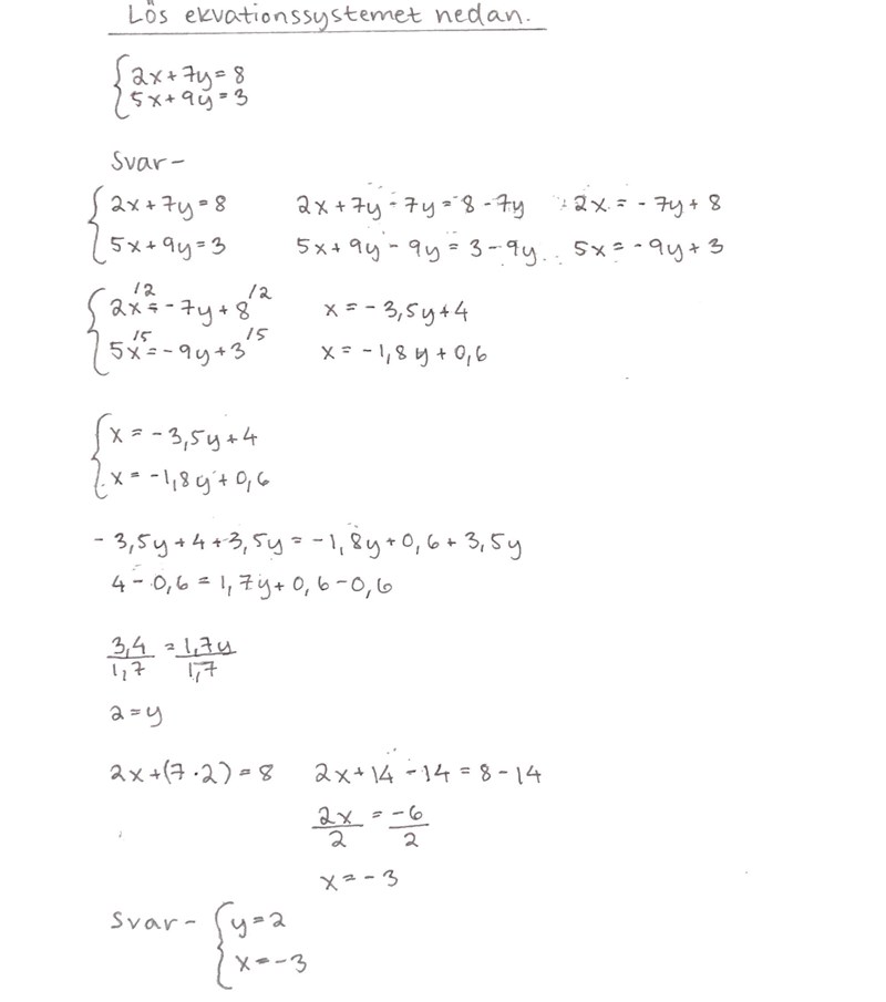
Hjalp Med Att Korrekturlasa Mitt Svar Matematik Matte 2 Linjara Funktioner Och Ekvationssystem Pluggakuten

Algebra Semana 2 Solucion

2x Ecommerce 2xecommerce Twitter

Calculus Limits

Los Ekvationen 2x2 6x 0 Matematik Matte 2 Pluggakuten

If 2 2x 1 2 1 2x 2 What Is X Quora

Vaxtbelysning Vaxtbelysning 2 X 54w

Ljusnat Led 2 X 3 M Northlight Clas Ohlson

Rd Sharma Solutions For Class 8 Chapter 6 Algebraic Expressions And Identities Download Free Pdf

Using A Table Of Values To Graph Equations